Introduction: Multiple myeloma (MM) is a plasma cell neoplasm characterized by the neoplastic proliferation of clonal plasma cells in the bone marrow, and often result in extensive bone destruction with osteolytic lesions, anemia, hypercalcemia and renal insufficiency.
MM usually presents after the fifth decade of life and there are conflicting reports about the clinical features and overall survival in younger age group.
Objective: We aim to study the clinical and laboratory features of newly diagnosed untreated Myeloma patients with age 50 years old and below and to describe the first line treatment protocols, overall survival (OS) and progression-free survival (PFS).
Methods: A retrospective medical record review was conducted in all patients at age of 50 and below, who are diagnosed with MM and treated at the National Center for Cancer Care and Research (NCCCR) in Qatar between 2007 to 2019. Relevant clinical and pathological parameters were recorded and correlated with OS and PFS. The analysis was descriptive and exploratory in nature. OS and PFS were descriptively analyzed using the Kaplan-Meier method. Statistical analysis was performed with STATA version 12.0 (Statacorp, College Station, TX).
Results:A total of 43 cases of MM at 50 years old and below were diagnosed in Qatar in the period between 2007 and 2019.The median age of all patients was 41 years (range, 22-50 years) with (2)5% of patients being younger than 30 years of age, 18(42%) between 30-39 years and 23(53%) between 40 and 50 years
7(16%) were Qatari citizen, there was obvious male predominance with 33 (77%) male and 10 (23%) female. The immunoglobulin (Ig) subtypes were IgG in 15(35%), IgA in 4(9%), free light chain in 18(42%), IgD in 3(7%) and others in 3(7%).
At diagnosis,35 patients out of 41 (85%) had bone lesions (lytic lesion or vertebral compression fractures). Twenty patient (46.5%) had extramedullary plasmacytoma, including five patients (11.5%) presented with spinal cord compression.
Anemia (with hemoglobin <10.0g/dL) was detected in 17patients (40%),10patients (23%) had hypercalcemia (serum calcium > 11.0 mg/dL), and 11patients (26%) had renal dysfunction (serum creatinine > 2.0 mg/dL) with two patient required hemodialysis at diagnosis. Other laboratory tests revealed albumin < 3.5g/dL in 13(30%) and beta2 microglobulin ≥5.5mg/L in 14(33%).
80% of patients had bone marrow plasmacytosis more than 10%. In 8 patients (19.5%) the bone marrow plasma cells were less than 10% and the diagnosis was based on the presence of plasmacytoma. The data was not available in two patients.
The proportion of patients at ISS stage III was 33%. Conventional chromosomal study was performed in 35 patients and chromosomal abnormalities were found in 25.7% (9 out of 35) of the patients.
A diverse range of first-line treatments was used. 35 patients (72%) were given induction therapy with a Bortezomib (V)-based regimen (Bortezomib-Dexamethasone)(2) VTD(1), PAD(8), VCD(16), VRD(8) while 3 patients received CTD, 2 patients were given dexamethasone only, one patient received HPERCVAD and 2 patients didn't receive any therapy.
21(48%) of patients underwent autologous stem cell transplant (including 2 tandem), as upfront therapy and 7 patients had second transplant during relapse.
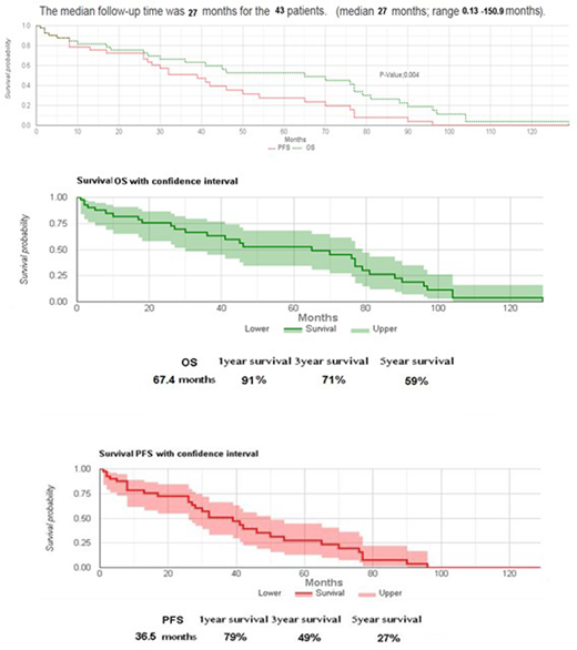
The overall response rate (ORR) to first line therapy was 85%, with 46%, of patients having complete response (CR),26% having a very good partial response (VGPR) and partial response (PR) in 14 % while refractory and progressive disease was recorded in 14%. Response was not evaluated in 8 patients (18.5%) due to lack of data. The median follow-up of all patients was 27month, median overall survival (mOS) and Median progression-free (mPFS) were 67.4 and 36.5 month respectively.
Conclusion: This is a single Centre preliminary data on MM in young patients, which showed that (MM) in younger age group had different clinical and biochemical pattern with high incidence of light chain myeloma and extramedullary involvements. This study will provide a platform for the design of future comparative studies for patients above and below 50 years in the Qatari population.
No relevant conflicts of interest to declare.
Author notes
Asterisk with author names denotes non-ASH members.

This feature is available to Subscribers Only
Sign In or Create an Account Close Modal